Latest Activities

Math Activities & News

Discover our latest mathematics activities, competitions, lectures, and news. Join fellow math enthusiasts in exploring the fascinating world of mathematics.

Filter by Tags:
How to find the angles of any regular polygon— Exterior Angles
Featured 2026-01-12

How to find the angles of any regular polygon— Exterior Angles

This video teaches you how to find the exterior angles of any regular polygon

Calculus Rate of Change Question Notes
2026-03-14 14
Calculus Rate of Change Question

Using Taylor Series to prove cis(x)=e^(ix) --> polar Notes
2026-03-07 16
Using Taylor Series to prove cis(x)=e^(ix) --> polar

IB past paper trigonometry Question II Notes
2026-02-15 35
IB past paper trigonometry Question II

IB Trigonometry Past Paper Question Notes
2026-02-14 37
IB Trigonometry Past Paper Question

Easier Pythagoras thereom Notes
2026-02-11 37
Easier Pythagoras thereom

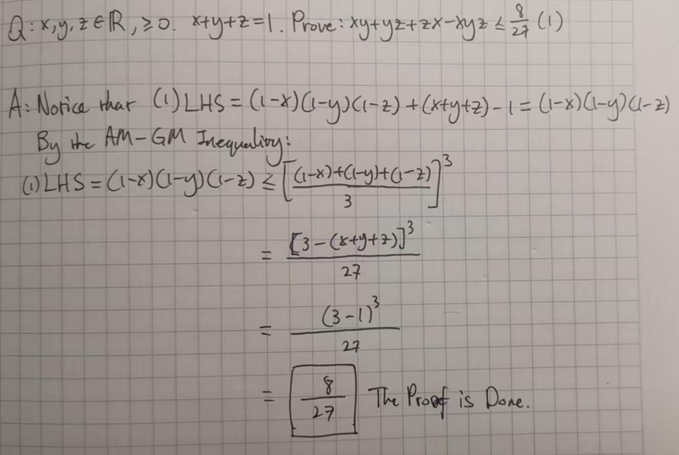
Q(Inequality) 06 Notes
2026-02-05 37
Q(Inequality) 06

This question requires the AM-GM inequality used twice.

UKMT IMC 2026 Q6 Notes
2026-02-03 38
UKMT IMC 2026 Q6

Q(Inequality) 05 Notes
2026-02-03 40
Q(Inequality) 05

This question requires the use of AM-GM and the ability of factorizing slightly complex polynomials

polar graph integration Notes
2026-01-24 57
polar graph integration

How to find the angles of any regular polygon— Exterior Angles Videos
2026-01-12 6
How to find the angles of any regular polygon— Exterior Angles

This video teaches you how to find the exterior angles of any regular polygon

Want to Join Our Activities?

Join the PI-ONEERS Math Club and explore the mysteries of mathematics with high school students from around the world