PI-ONEERS Logo
  • Home
  • About Us
  • Programs
    • Activities
    • Notes
    • Videos

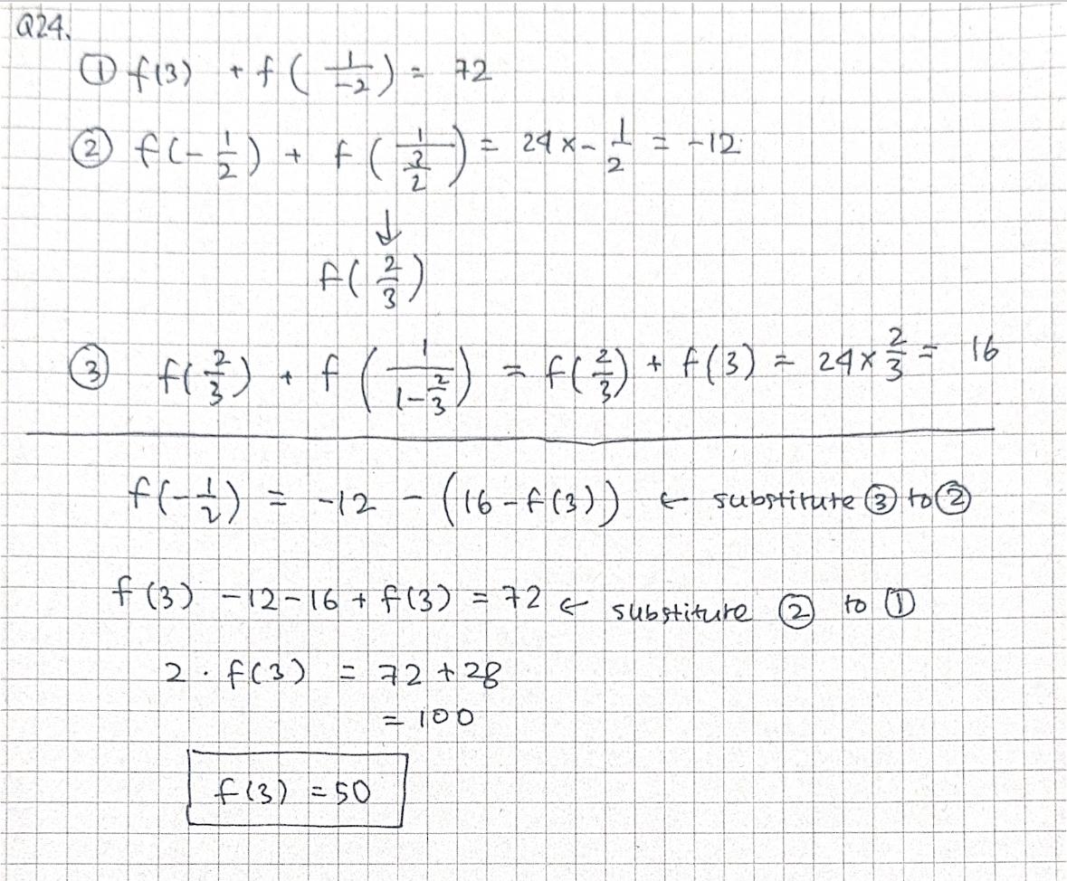
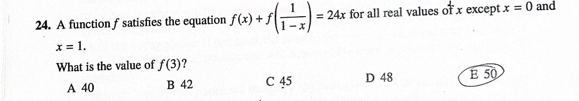
UKMT SMC 2024 Q24 key

Author: AmyJeon
2025-06-13 11:24:06 189 views
Competition

Previous
UKMT SMC 2024 Q23 key
Next
UKMT SMC 2023 Q10
Back to Notes List

PI-ONEERS Math Club

Pioneering the Future of High School Mathematics

Site Map
  • Home
  • About Us
  • Notes
  • Videos
Contact us

PI-ONEERS Math Club

The British International school of Shanghai, Puxi Huacao Town Minhang District Shanghai,china

taekyung_jeon@bisspuxi.com

founded by students in

BISS Logo

Copyright © 2023-2025 PI-ONEERS Math Club。保留所有权利。